목차
수요 예측
수요계획과 예측
수요 계획?
일정 계획기간에 걸쳐 제품과 서비스에 대한 모든 수요를 계획하는 과정
통계적 분석의 의의와 한계
- 역사적 수요 데이터에 근거하여 주관적 판단으로 인한 오류 방지 가능
- 특히나 독립적 수요를 가진 최종 제품이 수요를 예측하는데 매우 효과적
ex) 시계열 분석 : 과거 수요 패턴과 추세를 분석하여 이를 예측에 활용
수요 패턴이 반복적이며 장래 수요가 과거 수요에서 크게 변화하지 않는다면, 정확도가 높은 예측이 가능하다
수요 예측은 모든 공급 사슬 계획의 기초를 형성하는 과정
-> 판매, 생산, 구매, 물류계획 등 공급 사슬 계획의 기본이 됨
변동성이 높으며 반복적 패턴이 나타나지 않는 경우
: 실시간 데이터 분석을 통한 즉각적 수요 변화에 대응할 수 있는 시스템 구축
: 여러가지 가능한 시나리오를 설정하고 각 시나리오에 맞는 대응 전략을 마련해야함
: 통계적 기법 대신 머신러닝이나 인공지능을 활용한 예측 모델 사용하여 비정형 데이터와 복잡한 패턴을 탐지
: 안정적인 공급망 확보를 통해 수요 변동성에 대비
수요예측의 특성
- 예측 오류 존재 : 수요 예측에는 항상 일정한 오차가 존재함 -> 적절하게 오차를 측정하는 지표를 사용해 최소화해야함
- 장기 예측과 단기 예측 : 예측 기간이 길수록 정확도가 떨어짐
- 집계 예측과 비집계 예측 : 여러 제품, 지역을 종합하여 예측 | 비집계 예측보다 오류가 적은 경향이 있음
- 채찍 효과 : 공급사슬 상류에 위치한 기업일수록 왜곡된 정보를 받을 가능성이 커짐
수요예측 기법
| 정상적 기법 | 계량적 기법 |
| 주관적 판단, 예측자의 경험을 바탕으로 예측 | 데이터 기반 예측 : 통계적 기법과 수학적 모델 사용 |
| 적은 과거 데이터 / 새로운 제품 출시 시 유용 시장조사, 델파이 기법, 역사적 유추법 |
시계열 분석 : 과거 데이터의 패턴을 분석하여 미래 수요 예측 인과 모형 : 수요에 영향을 미치는 변수를 분석하여 예측 |
델파이법 : Delphi Method
전문가 그룹 선정 -> 여러 차례 질문을 통해 의견 수렴, 예측치 도출
장점 : 과거 자료 없거나 예측이 불확실할 때 유용, 장기적 예측에 적합
단점 : 시간과 비용
시장조사법 : Market Research
설문지, 직접 인터뷰, 전화조사 등 -> 소비자 의견 조사하여 수요 예측하는 방법
장점 : 정성적 기법 중 가장 정확한 예측 가능, 소비자 의견 반영으로 인한 높은 신뢰성
단점 : 시간과 비용
역사적 유추법 : Historical Analogy
과거 자료가 없을 때, 유사한 기존 제품이 시장에서 어떤 도입, 성장, 성숙기를 거쳤는지를 바탕으로 수요 유추
시계열 분석 : Time-Series Forecasting Method
과거 수요 데이터 기반의 예측
과거 수요 패턴이 미래에도 지속될 것이라는 가정에 기초
=> 기본 수요 패턴이 크게 변하지 않을 경우 효과적
ex) 이동평균법, 지수평활법
인과모형 : casual Forcasting Method
수요에 영향을 미치는 환경적 요인(경제여건, 이자율, 소득 등)과 밀접하게 관련된 가정에 기반함
수요&환경적 요인 간의 상관관계 분석
ex) 회귀 분석

시계열 기법 : 50~67% 활용됨
=> 변동성이 큰 분야에서 자주 사용
=> 단순, 용이한 해석
=> 시간에 따른 변화에 유용
회귀분석 : 23%
=> 경제 분석, 비용 효율성 평가에 자주 사용됨
기계학습 : 20~30%
=> 대규모 데이터와 복잡한 상호작용을 다루기에 적합
=> 실시간 데이터 처리 & 정교한 예측 가능
AI 시대에도 여전히 시계열 분석은 중요하다
- 단순성, 해석 용이성 : 과거 데이터 기반 해석, 결과를 쉽게 이해하고 활용할 수 있음
- 복잡한 데이터 요구에 대한 대응 : 데이터 수집이 어려운 경우 제한적 데이터만으로도 의미있는 예측 제공 가능
- 비용 효율성 : 상대적으로 적은 자원으로 예측 가능, 기업의 예산 절감에 기여
- 신뢰성 : 이미 검증된 방법론
시계열 분석
시계열 자료의 구성 요소
- 수준 (Level): 일정 기간 동안의 평균 수요.
- 추세 (Trend): 시간이 지남에 따라 수요가 증가하거나 감소하는 경향.
- 계절적 요인 (Seasonal Factor): 계절 변화에 따른 주기적 패턴.
- 순환적 요인 (Cyclical Factor): 경제적 또는 다른 외부 요인으로 인해 수요가 장기적으로 변동하는 요인.
- 무작위 요인 (Random Factor): 예측할 수 없는 불규칙한 변동.
수요의 체계적 요소 : systematic Components
수요 = 체계적 요소 + 무작위 요소
체계적 요소 : 수요의 기대값 (수준, 추세, 계절적 요인)
무작위 요소 : 과거 수요 패턴으로는 예측할 수 없는 변동
체계적 요소의 형태
- 승수적 multiplicative : 수준*추세*계절 -> 변동성 클 때 사용
- 합산적 additive : 수준 + 추세 + 계산 -> 각 요인이 개별적으로 수요에 기여할 때
- 혼합적 mixed : (수준 + 추세) * 계절


이동평균법 : Moving Arange Method
수요 패턴에 추세나 계절성이 없을 때 사용
과거 일정 기간 동안의 평균 수요를 사용하여 예측 수행
체계적 요소 : L
1) N-기간 이동평균법
최근 N기간 동안의 수요 평균 => 다음 기간의 예측치
Lt = (Dt + Dt-1 + ... + Dt-n+1) / N
Ft+1 = Lt
2) N-기간 가중이동평균법
최근 기간에 더 높은 가중치를 부여
Lt = (α1Dt + α2Dt-1 + ... + αnDt-n+1) / N (0 < alpha < 1)
Ft+1 = Lt
지수평활법 : Exponential Smoothing Method
실제 수요와 이전 예측치에 각각 가중치 부여 + 가장 최근 데이터를 더 높은 가중치로 반영
Ft+1 = αDt + (1-α)Ft (α : 평활상수)
단순 지수평활법
수요 패턴에 추세, 계절성이 관찰되지 않을 때
Lt = αDt + (1-α)Lt-1
Ft+1 = Lt
추세조정 지수평활법 : Holt Model
수요 패턴에 추세가 관찰될 때
체계적 요소 = 수준 + 추세
Lt = αDt + (1-α)(Lt-1 + Tt-1)
Tt = β(Lt - Lt-1) + (1-β)Tt-1 (0<α,β<1)
Ft+1 = Lt + Tt
추세 및 계절조정 지수평활법 : Winters Model
수요 패턴에 추세와 계절성이 모두 관찰될 때
체계적 요소 = (수준 + 추세)*계절 요인
Lt = α(Dt / St) + (1-α)(Lt-1 + Tt-1)
Tt = β(Lt - Lt-1) + (1-β)Tt-1
St+p = γ(Dt / Lt) + (1-γ)St-p
Ft+1 = (Lt + Tt)St+1
예측 오차
1) 표준제곱오차 MSE : mean square error

= 값이 작을수록 예측이 정확함
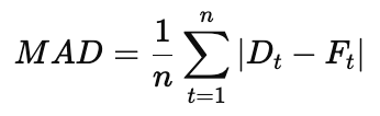
2) 평균 절대 오차 MAD : mean absolute deviation

= 오차의 절대값으로 직관적 이해 용이
3) 평균절대백분율오차 MAPE : mean absolute percentage error

= 상대적 오차 파악 가능
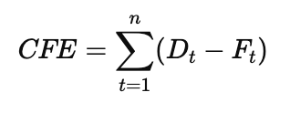
4) 누적예측오차 CFE : cumulative forecast error

= 긍정 오차와 부정 오차의 상쇄 발생 가능
= 0에 가까울 수록 이상적 모델
5) 추적지표 TS : Tracking Signal

= 0 부근에 있을수록 예측이 정상범위에 있음
= TS가 상,하한 범위를 넘어설 경우 예측모델의 점검이 필요함
- MSE는 큰 오차를 중요시하며, MAD는 절대 오차의 평균을 사용하여 직관적으로 이해할 수 있음
- MAPE는 오차를 백분율로 나타내어 예측 성능을 상대적으로 평가
- CFE와 TS는 예측 오차가 누적되었는지, 그리고 예측이 정상 범위 내에 있는지를 판단하는 데 유용
수요예측 프로세스의 구축
본문내용 삽입
수요관리
본문내용 삽입
'강의 > SCM&물류' 카테고리의 다른 글
| 제품전략 (0) | 2024.10.22 |
|---|---|
| 공급사슬전략 (2) | 2024.10.22 |
| 정보의 가치 : 공급사슬 통합 (2) | 2024.10.22 |
| 재고 관리와 리스크 (0) | 2024.10.22 |
| SCM Flow (2) | 2024.10.19 |