재고 관리
기업이 재고를 보유하는 이유
- 예상치 못한 고객 수요 변화 : 짧은 수명 주기 / 경쟁 제품 존재
- 불확실성
- 운송 및 제조에서의 규모의 경제, 리드타임
재고 정책 결정 시
- 고객 수요의 성격을 파악해야함 : 안정적 수요, 급변하는 수요 등
- 시스템 내 리드타임을 파악해야함 : 제조 및 운송 시간, 공급업체들로부터의 리드타임
- 고려되는 제품의 종류를 고민해봐야함 : 생산 용량, 예산 및 공간까지 재고의 모든 것은 돈
- 계획 수립 기간의 길이에 따라 달라짐
- 주문 비용 및 재고 보유 비용을 포함한 비용 고려 : 주문 비용 (제품 비용, 운송 비용) | 재고 보유 비용 (기회비용, 노후화비용 등)
- 제품의 서비스 수준 요구사항 정도를 파악해야함
재고정책
재고 정책은
단일 단계 재고 관리 (확실성/불확실성 하의 재고 의사결정)/ 다단계 재고 관리가 있음
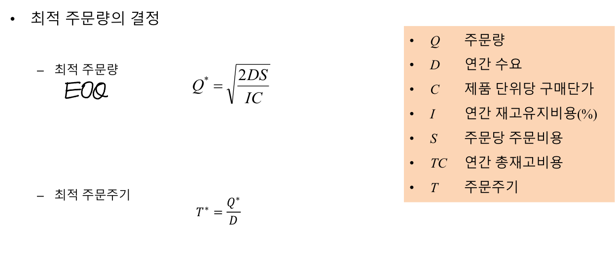
확실성 하의 재고의사결정 : EOQ 모형
=> 단일 품목만 고려, 연간 수요량을 알고 수요율이 일정함, 리드타임 일정, 할인 X, 일시 입고되는 주문량이라는 가정 하




현재 연간 총재고 비용 = 연간 재고 유지 비용 + 연간 주문비용
-> 최적 주문량 구한 후 최적 주문 주기 구해서 다시 최적 연간 총 재고 비용 구하기!!
불확실성 하의 재고의사결정
분산과 표본편차가 큰 경우, 이를 대응하기 위한 안전재고가 필요하다! + JIT system




안전재고 : 수요와 리드타임의 불확실성을 해결하기 위해 일정 수준의 안전재고 유지 = buffer

재고관리 시스템
정량발주 시스템 : Q-시스템

재고가 ROP에 도달할 때마다 일정량 Q 발주
- 주문량 항상 동일
- 주문 시점의 변동
장점 : 효율적이다. 일정한 주문량으로 EOQ를 사용해 재고 및 주문 비용 최적화 가능
단점 : 발주 시점 모니터링, 불규칙한 발주시기로 인해 공급업체와의 소통 중요, 변동 수요에 취약함
ex) 부재고 발생, 과잉 재고 발생
정기발주 시스템 : P-시스템

일정한 주기마다 재고 점검 후 필요한 양 발주
- 주문 주기 고정
- 발주량 변동
장점 : 발주 주기 간소화, 계획 수립 용이, 관리 용이
단점 : 부재고 및 과잉재고 위험, 재고 비용 증가 가능
즉 정량 발주를 하게 되면 필요한 시점에만 발주하여 불필요한 재고를 줄일 수 있지만 공급업체와의 소통이 중요하며 재고를 지속적으로 모니터링하는 비용이 발생한다. 정기발주는 주문 시점이 동일해 공급업체와의 관리가 간편하지만 재고 부족, 과잉의 위험이 따르며 수요가 변동할 때 재고 관리 비용이 더 증가할 수 있음


리스크 풀링
공급사슬의 변동성에 대응하기 위한 강력한 도구 중 하나
base : 여러 지역의 수요를 보다 적은 재고처로 통합할 경우 수요의 변동성이 감소한다
수요의 변동성 감소 -> 안전재고 감소 -> 평균 재고 수준 감소

다단계 재고관리 접근법
단일지점 재고 정책
: 각 개별 지점에서의 독립적 재고 보충
-> 재고 보충 전략이 타 지점이나 단계에 미치는 영향에 대한 고려 없이 이루어져 네트워크의 전체 최적화를달성할 수 없음
-> 공급 사슬 전체 재고에 대한 파악과 대처를 어렵게 만듦
-> 채찍효과를 발생시킬 수 있고, 과잉재고를 유지하게 됨
-> 네트워크 전체로는 적합한 수준의 재고를 유지하고 있더라도 최종 고객에 대한 서비스 실패가 발생할 수 있음

단계적 접근방법 : 단일지점 재고 관리에 사용되는 재고 정책을 각 단계에 순차적으로 적용
전체 네트워크 최적화 : 해를 찾는 것이 매우 어려움

단계적 재고관리 : 특정 단계는 해당 단계 아래의 모든 공급 단계의 재고를 합친 값으로 관리함
계층재고 : 해당 계층의 재고와 하위 계층 재고를 더한 값
-> 실제 사용가능한 재고 정확히 파악 가능
+ 현 계층 재고의 위치를 파악할 수 있음
-> 아직 도착하지 않은 발주량, 실재고 상태 반영


